زبان

+86-18857986217

با هم تماس گرفتن

IMG

شماره 892 ، خیابان شرقی چانونگ ، خیابان Fuxi ، شهرستان Deqing ، شهر Huzhou ، استان ژجیانگ ، چین

شرکت تصفیه حفاظت از محیط زیست Nantong Lyusen ، آموزشی ویبولیتین.

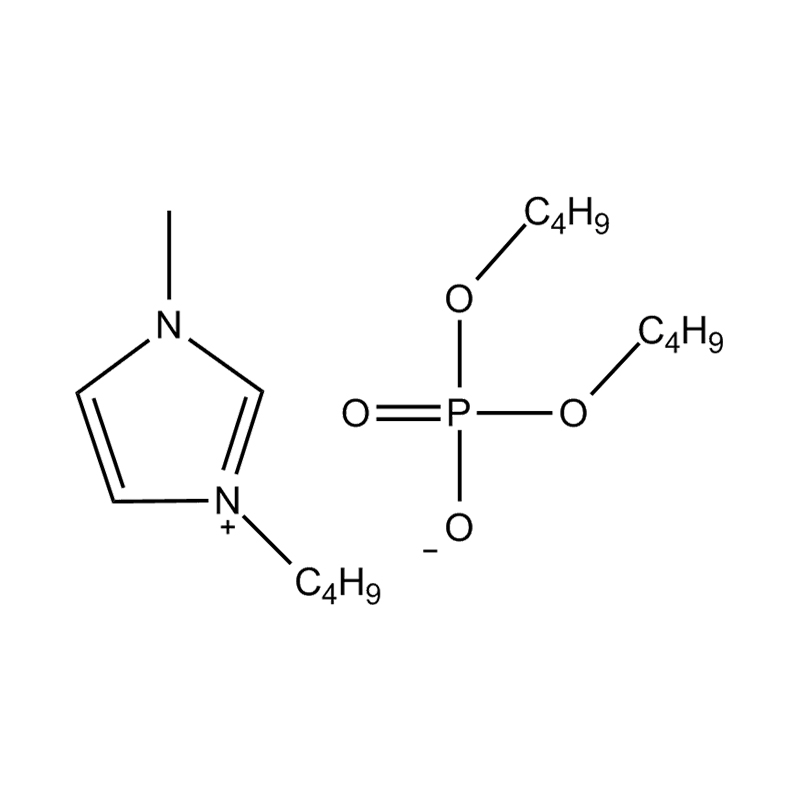
1-butyl-3-metylimidazolium dibutyl فسفات تامین‌کنندگان مایعات

هوای پاک ، یک حق انسانی

خانه / محصول / مایعات یونی / مایعات یونی سفارشی / 1-butyl-3-metylimidazolium dibutyl فسفات
01پارامتر 02سفارشی کردن
فرمول مولکولی جف 16 سخنرانی 33 حرف 2 ای 4 پ
وزن مولکولی 348.42
جفAS No. 663199-28-8
پurity 98 ٪ $ $

درباره لند
شرکت توسعه فناوری انرژی Zhejiang Lande ، Ltd.
شرکت توسعه فناوری انرژی Zhejiang Lande ، Ltd. (LETD) یک شرکت تولید مایع یونی است که در سال 2009 تأسیس شده است و مقر آن در خیابان شماره 892 Changhong East ، منطقه توسعه اقتصادی شهرستان Deqing ، استان ژجیانگ است. سرمایه ثبت شده این شرکت 36.9 میلیون یوان و کل دارایی 220 میلیون یوان است.
فناوری LDET بر تحقیق ، توسعه ، تولید و فروش مایعات یونی و مواد افزودنی انعطاف پذیر محصولات الکترونیکی متمرکز است ، که عمدتاً در مزارع مانند صنعت شیمیایی نفتی و زغال سنگ ، باتری های لیتیوم ، حفاظت از انرژی و حفاظت از محیط زیست ، صنعت هسته ای ، داروهای سبز ، انحلال بیولوژیکی ، فیلم های نوری و محصولات شیمیایی روزانه اعمال می شود. محصولات این شرکت در زمینه کاتالیز کاربردهای پایدار دارند و کاربردهای صنعتی خود را در مناطقی از قبیل استخراج روغن سفید ، الکترولیتهای جامد/نیمه جامد ، الکترولیتهای آلومینیوم الکترولیتیک با دما کم ، کاتالیزورهای تخریب PET و غیره در فرآیند تولید جداکننده های باتری لیتیوم/Fibers با وزنه های مولکولی فوق العاده ارتفاع مولکولی مولکولی مولکولی مولکولی مولکولی مولکولی پلی اتیلن گسترش می دهند. این یک شرکت ملی فناوری پیشرفته و یکی از شرکتهای اصلی کشت شده در برنامه ققنوس استان ژجیانگ است.
گواهی افتخار
  • honor
  • honor
  • honor
  • honor
  • honor
  • honor
  • honor
  • honor
خبر
بازخورد پیام